关联电子材料课题组在铁基超导性能改善方面取得新发现
CaKFe4As4是一种新型的铁基超导体,其具有高的上临界场和不可逆场、小的各向异性,并且其临界电流密度比其它已知铁基超导体高出1-2数量级,在强电磁领域具有广阔的应用前景。研究表明,在CaKFe4As4中可自发形成CaFe2As2 和(或)KFe2As2 插层的自掺杂结构,这种自插层结构的存在使得CaKFe4As4表现出复杂的磁通动力学现象。

图1. 利用球差电镜技术,在CaKFe4As4单晶样品中观察到存在长度约11-25nm、厚度约1.42nm的KFe2As2插层。
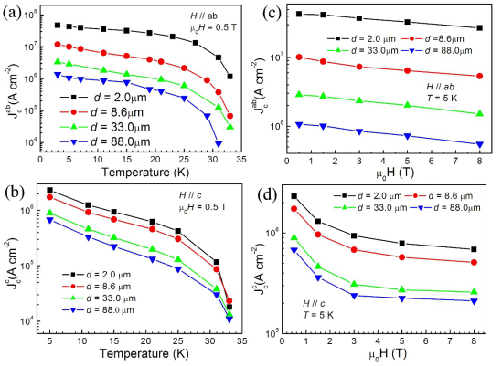
最近,硕士研究生赫田、韩倩倩以及本科生谢润涵、王宝柱同学,在王春雷博士的指导下,利用胶带粘结法从一大块CaKFe4As4单晶样品中获得了不同厚度的单晶样品,并首次系统研究了样品厚度d对其磁通钉扎行为的影响,发现随着d的减小,其临界电流密度Jc单调增加。例如当d从88.0 μm减小到2.0 μm时,在同等条件下,在H // c 和H // ab方向的Jc分别增加数倍和数十倍。同时,研究发现该样品的鱼尾效应随着d的减小而逐渐衰退,直至消失。这些实验结果深刻表明,CaKFe4As4超导体的高Jc和鱼尾效应可能与超导相与插层相之间的层间耦合强度有关,具体的物理机制目前仍然需要进一步的研究。该工作近期以“Novel sample-thickness-dependent flux pinning behaviors of KFe2As2 intercalations in CaKFe4As4 single crystals”为题发表在国际应用超导权威期刊《Superconductor Science and Technology》上(Chunlei Wang, et al. Supercond. Sci. Technol., 2021, 34, 055001)。这是国际上首次在铁基超导单晶样品中观察到与晶体厚度密切相关的磁通动力学现象,这一发现的意义在于其为制备高性能的CaKFe4As4超导线带材指明了新途径,具有重要的应用价值。

图2. 在不同的温度和磁场条件下,样品的临界电流密度随着沿晶体c轴厚度的
减小而快速增加。这是国际上首次在铁基超导单晶样品中观察到与样品厚度密
切相关的磁通动力学现象,具有重要的理论和应用价值。
据悉,该课题组近期围绕CaKFe4As4超导体开展了深入系统的研究工作,改进了CaKFe4As4单晶制备技术,利用一步法成功制备了高质量的单晶样品,并在此基础上利用多种方法深入分析了其磁通钉扎势、磁通相图、磁通钉扎机制等问题,并有多篇论文发表。
上述工作得到了河南省自然科学基金、信阳师范POPjav 南湖学者奖励计划和信阳师范POPjav 研究生创新基金的支持,同时得到了中国科POPjav 电工研究所马衍伟研究员的指导和帮助。
1. Chunlei Wang,Tian He, Qianqian Han, Chunfeng Fan, Qingbin Tang, Dong Chen, Qiankun Lei, Shujie Sun, Yingbin Li and Benhai Yu, Novel sample-thickness-dependent flux pinning behaviors of KFe2As2 intercalations in CaKFe4As4 single crystals, Superconductor Science and Technology, 34,055001,2021.()
2. Chunlei Wang, Tian He, Qianqian Han, Baozhu Wang, Runhan Xie, Yigang Li, Qingbin Tang, Yingbin Li and Benhai Yu,Flux pinning and the vortex phase diagram in optimized CaKFe4As4 single crystals fabricated by a one-step method,Superconductor Science and Technology,33 045011,2020.()
3. Chunlei Wang, Tian He, Qianqian Han, Zhichao Ji, Qiankun Lei, Qingbin Tang, Yingbin Li and Benhai Yu, Vortex creep activation energies and depinning currents in CaKFe4As4 and Ba0.6K0.4Fe2As2 revealed by AC susceptibility measurements,Journal of Physics: Condensed Matter, 32, 415607, 2020.()
4. Chunlei Wang, Tian He, Qianqian Han, Baozhu Wang, Runhan Xie, Qingbin Tang, Yingbin Li and Benhai Yu, Vortex Pinning and the Mechanism in CaKFe4As4 Revealed by Dynamical Magnetization Relaxation, Journal of Superconductivity and Novel Magnetism,33,1979–1986.2020.()


